基于numpy的实现代码传送门
循环神经网络(Recurrent Neural Network,RNN)是一种专门用于处理时间序列任务的神经网络,而自然语言就是一种典型的时间序列,所以RNN模型又多用于NLP任务。
1. 输入输出
训练输入: \[ T=\{(x_1,y_1), \cdots,(x_N,y_N)\} \] 其中,
\(x\) 为特征域,\(x_i \in \mathbb{R}^{m \times n},i =1,2,...,N\),\(m\) 为时间长度,\(n\) 为特征维度大小
\(y\) 为标签域,\(y_i \in \mathbb R^{m \times K}\) ,\(K\) 为输出标签集合大小,\(y_i\) 是一个二维的one-hot向量
注:序列任务的输出大致可以归为两种情况:
- 标注类任务。序列中每个元素输出一个标签,即 \(y_i \in \mathbb R^{m \times K}\)。
- 文本分类任务。每个序列输出一个标签,即 \(y_i \in \mathbb R^{K}\) ,为了表示一致,改记为 \(y_i \in \mathbb R^{1 \times K}\),即 \(m=1\)。
测试输入 \[ X'=\{x'_1, \cdots ,x'_{N'}\},x'_i \in \mathbb{R}^{m \times n} \] 测试输出: \[ Y'=\{y'_1,\cdots,y'_{N'}\},y_i' \in \mathbb R^{m \times K} \]
2. 模型效果
上图是一个时间序列预测的demo。
图中,红线为函数 \(\sin(t)\) 的关于时间 \(t\) 的时间序列曲线,蓝线为使用RNN根据输入时间区间 \([t_i,t_j]\) 预测当前时间区间的函数值序列曲线
3. 基本定义
首先来看时间序列。时间序列任务在之前的笔记中已多次提及,这里再简单提及一下。例如,对于句子 我爱你 ,这就是一个序列的输入,\(t_0\) 时刻输入“我”,\(t_1\) 时刻输入“爱”,以此类推。
因为序列任务也属于分类任务,所以自然也可以用普通的DNN模型来完成,但效果一般都不好。DNN模型是典型的词袋模型,每个元素的输入都是独立的,这意味不同顺序的输入效果可能是一样的,例如,在DNN眼中,我爱你和 你爱我的意思是一样。
RNN的基本思想很简单,就是和众多时序模型一样,想方设法的将以往的信息加入到当前时刻的训练中。基于这个思想,RNN将上一时刻隐藏的信息(也有选择将上一时刻的输入层或输出层信息)加入到当前时刻的隐藏层中。
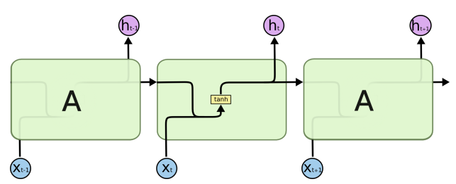
一个经典的RNN网络由输入层、循环层(Recurrent Layer)、全连接层构成,经典结构如下所示
上图中(下面为表示方便,以一个神经元向量进行表示,如果要表示整一层的权重,则用大写的矩阵表示。)
- 左图模型总体数据流结构图,右图是按时刻拆开后的模型结果图。(RNN模型的结构图太难表示了,以至于不得不使用这种方式进行表达)
- 当前时刻 \(t\) 的上一层(不妨看做输入层)的神经元向量为 \(x_t\in \mathbb{R}^{1 \times n}\);下一层(不妨看做输出层)的神经元向量为 \(h_t\in \mathbb{R}^{1 \times n_c}\) ;当前层(即隐藏层)的神经元向量为 \(s_t\in \mathbb{R}^{1 \times n_c}\)
- \(x_t \rightarrow s_t\) 的权重和偏置分别为 \(V\) 和 \(b_s\) ; \(s_{t-1} \rightarrow s_t\) 的权重为 \(U\) ; \(h_t \rightarrow o_t\) 的权重和偏置分别为 \(W\) 和 \(b_h\) ;\(s_t \rightarrow h_t\) 还可以做若干线性变换的操作,这里为了推导方便,直接使 \(h_t = s_t\)
- 为了表示方便,记 \(\sigma(x) = \text{sigmoid}(x), \phi(x) = \tanh(x)\)
3.1. 输入层
总输入是一个长度为 \(m\) 的时间序列,每个时刻的输入元素向量长度为 \(n\) 。
对于NLP任务,输入层后面一般还要接一个embedding layer,将词的one-hot编码转为向量编码(这一步的作用在之前的预训练-word2vec这篇笔记中有所分析,这里也不再赘述),但一般会将embedding layer也包含进输入层中。
输入层输出维度:\(\{m \times n\}\)
3.2. 循环层
3.2.1. 前向传递
当前时刻隐藏层 $ s_t$ 的输入流有两个:当前时刻的输入层 \(x_t\) 及上一时刻的隐藏层 \(s_{t-1}\) ,所以从输入到隐藏的传递公式为 \[ s_t = \phi (Vx_t + Us_{t-1} + b_s) \] 上面表达式实际上是一个递归的加性函数,对其展开可得 \[ s_t = \phi (Vx_t + Us_{t-1} + b_s) \\ s_{t-1} = \phi (Vx_{t-1} + Us_{t-2} + b_s) \\ \cdots \\ s_0 = \phi (Vx_0 + b_s) \] 一般来说,循环层激活函数都是用tanh函数。下面来分析一下为什么一般不选用sigmoid函数和tanh函数
sigmoid函数和tanh函数曲线是很相似的。通常观点认为,sigmoid函数是非中心对称函数,而tanh是中心对称的,在0附近梯度大,收敛速度快,所以选用tanh函数比sigmoid函数要优;
relu函数的正方向的导数为1,对梯度没有衰减,极容易造成梯度爆炸的问题,所以尽量避免在NLP中使用relu函数。
当然,如果可以找到一个合适的初始值,sigmoid和relu都是可以使用的。例如,iRNN就采用了relu函数。
输出输入维度变化:\(x \rightarrow h : \{ m \times n \} \rightarrow \{ m \times n_c\}\)
3.2.2. 反向传递
RNN的反向求导用(Backpropagation Through Time)算法
需要求3个变量,所以需要给出4个梯度表达式 \(\frac{\partial s_t}{\partial x_t},\frac{\partial s_t}{\partial V},\frac{\partial s_t}{\partial U}, \frac{\partial s_t}{\partial b}\)
\(\frac{\partial s_t}{\partial x_t}\)
对 \(s_t\) 递归式展开,只保留包含 \(x_t\) 的项,发现 \[ s_t \propto \phi(Vx_t) \] \(x_t\) 不包含递归项中,所以直接求梯度可得 \[ \frac{\partial s_t}{\partial x_t} = V\cdot \phi'(Vx_t) \]
\(\frac{\partial s_t}{\partial V}\)
对 \(s_t\) 递归式展开,发现V在递归项中
令 \(g_t = Vx_t + Us_{t-1} + b_s\) ,则 \(s_t=\phi(g_t),\frac{\partial s_t}{\partial g_t} = \phi'(g_t) = 1 - \phi(g_t)^2\)
对其递归求梯度得 \[ \frac{\partial s_t}{\partial V} = \frac{\partial s_t}{\partial g_t} \frac{\partial g_t}{\partial V} = \phi'(g_t) (x_t + (\frac{\partial s_{t-1}}{\partial V})^T\text{diag}(U))^T \\ \frac{\partial s_{t-1}}{\partial V} = \phi'(g_{t-1}) (x_{t-1} +(\frac{\partial s_{t-2}}{\partial V})^T\text{diag}(U))^T \\ \cdots \\ \frac{\partial s_{0}}{\partial V} = \phi'(g_0) x_{0} = \phi'(Vx_0 + b_s)x_0^T \]
\(\frac{\partial s_t}{\partial U}\)
类似的,递归求导得 \[ \frac{\partial s_t}{\partial U} = \frac{\partial s_t}{\partial g_t} \frac{\partial g_t}{\partial U} = \phi'(g_t) (s_{t-1} + (\frac{\partial s_{t-1}}{\partial U})^T\text{diag}(U))^T \\ \frac{\partial s_{t-1}}{\partial U} = \phi'(g_{t-1}) (s_{t-2} + (\frac{\partial s_{t-2}}{\partial U})^T\text{diag}(U))^T \\ \cdots \\ \frac{\partial s_{1}}{\partial U} = \phi'(g_1)s_0^T \] 值得注意的是,在 \(t=0\) 时刻,U不需要更新参数
\(\frac{\partial s_t}{\partial b}\)
类似的,递归求导得 \[ \frac{\partial s_t}{\partial b_s} = \frac{\partial s_t}{\partial g_t} \frac{\partial g_t}{\partial b_s} = \phi'(g_t) (1 + U\frac{\partial s_{t-1}}{\partial b_s}) \\ \frac{\partial s_{t-1}}{\partial b_s} = \phi'(g_{t-1}) (1 +U\frac{\partial s_{t-2}}{\partial b_s}) \\ \cdots \\ \frac{\partial s_{0}}{\partial b_s} = \phi'(g_0) = \phi'(Vx_0 + b_s) \]
从上面的推导中可以看出,当前时刻的梯度更新包含以往所有时刻的梯度,从最优化的角度来看,这会使RNN比一般的DNN更容易出现梯度消失或爆炸的情况。
为了解决上述问题,BPTT会限定一个阈值 \(\tau\) ,仅回溯之前 \(\tau\) 个时刻的梯度值,这种思想类似于常见n-gram做法。
3.3. 全连接层
3.3.1. 前向传递
而隐藏层到输出层的数据流跟普通DNN模型是完全一样的,即 \[ o_t = a(Wh_t + b_h) \]
激活函数的选择,二分类任务用sigmoid,多分类任务用softmax即可(一些回归型任务可以不使用激活函数)。
标注类型任务
传统做法是每一个时刻输出一个预测值,但这样只能串行计算,RNN的运行效率并不高。
很多时候为了能够并行运算,每个时刻的输入后并不会立刻进行反向传递更新参数,而是等到所有时刻都输入后,再进行反向传递,此时反向传播时的损失值为所有时刻的损失值之和(或均值),且输入必须是等长序列。
输入输出维度变化:\(h \rightarrow o : \{ m \times n_c \} \rightarrow \{m \times K\}\)
文本分类任务
一个序列全部输入后再输出一个预测值,此时反向传播时的损失值为所有时刻的损失值之和(或均值)
输入输出维度变化:\(h \rightarrow o : \{ m \times n_c \} \rightarrow \{1 \times K\}\)
3.3.2. 反向传递
反向推导过程参考之前的神经网络笔记,略。
4. 一些改进
4.1. LSTM
之前提及设置阈值 \(\tau\) 的RNN网络,这种做法由于只保留最近 \(\tau\) 个时刻的信息,会使RNN变成短期记忆网络,在一些情况下需要关联过去较长时刻的信息,例如,无主语句子。如果保留过去全量的信息,又会造成梯度消失和爆炸等问题。
为了解决上述问题,提出了长短记忆单元(Long Short-Term Memory Unit,LSTM)
4.1.1. 前向传递
首先给出LSTM的结构图
要看明白这张图需要花费一点时间,一个技巧是看操作符,根据操作符前后的输入输出流给出对应的表达式。
图中,\(\sigma,\tanh\) 表示激活函数,\(\times,+\) 分别表示矩阵的Hadamard积(矩阵对应元素相乘)和矩阵加法。
按照操作符给出各数据流的表达式 \[ \begin{aligned} i_t &=\sigma\left(W_{i} x_{c}(t)+b_{i}\right) \\ f_t &=\sigma\left(W_{f} x_{c}(t)+b_{f}\right) \\ o_t &=\sigma\left(W_{o} x_{c}(t)+b_{o}\right) \\ g_t &=\phi\left(W_{g} x_{c}(t)+b_{g}\right) \\ s_t &=g_t \odot i_t+s_{t-1} \odot f_t \\ h_t &=o_t \odot \phi(s_t) \end{aligned} \] 其中,\(\odot\) 表示Hadamard积,\(x_c(t) = [x_t,h_{t-1}]\)
比较LSTM和RNN的差异。
首先,LSTM是一个综合了原先RNN的输入层、循环层和输出层的结构,像这种综合多个层的结构称为单元(Unit)。\(s_t\) 是单元的权重
\(i_t,f_t,o_t\) 是在原先循环层的基础上新增的数据流,称为门控系统,分别称为输出门,遗忘门、输出门,是LSTM的精髓所在;\(i_t\) 控制 \(x_t \rightarrow s_t\) 的数据流,$ f_t$ 控制 \(s_{t-1} \rightarrow s_t\) 的数据流, $ o_t$ 控制 $s_t h_t $ 的数据流;\(g_t\) 是细胞的缓存的权重。
\(i_t,f_t,o_t\) 这三个门结构和作用都相似,以 \(i_t\) 为例进行分析。
\(i_t\) 受到当前时刻输入 \(x_t\) 和过去时刻隐层输出 \(h_{t-1}\) 综合作用;激活函数选用sigmoid函数,取值区间为 \([0,1]\) ,这表示输出的衰减程度(或者是信息的保留程度),值为0时表示完全丢弃,值为1时表示完全保留。
将门控与对应的输入流做Hadamard相乘,意味着当前时刻输入在上一时刻隐层的输出的影响下,如果想要对模型的最终决策的占比较大,则门控的衰减应该低,反之则应该较高(当然门控的衰减率会由网络自主学习获得),即达到选择性记忆的功能,亦即“长/短”记忆模型。
遗忘门能决定需要保留先前步长中哪些相关信息,输入门决定在当前输入中哪些重要信息需要被添加,输出门决定了下一个隐藏状态。
故LSTM的本质通过只记忆重要输入信息,减少总体序列记忆长度,从而既能最大程度保留序列整体信息,又能减轻梯度消失和爆炸的问题。
4.1.2. 反向传递
由于需要这一层的变量较多,这里就不一一具体给出,自行如法炮制即可
注:
Hadamard积的求导 \[ d (U \odot V) = d U \odot V + U \odot dV \]
4.2. GRU
4.2.1. 前向传递
由于LSTM的参数较多,训练效率低,门控循环单元(Gated Recurrent Unit,GRU)在LSTM的基础上,取消了单元权重,并将三个门精简到两个门。
仍然按照操作符给出各数据流的表达式 \[ \begin{aligned} z_{t} &=\sigma\left(W_{z} \cdot x_c(t)\right) \\ r_{t} &=\sigma\left(W_{r} \cdot x_c(t)\right) \\ \tilde{h}_{t} &=\phi \left(W \cdot\left[r_{t} \odot h_{t-1}, x_{t}\right]\right) \\ h_{t} &=\left(1-z_{t}\right) \odot h_{t-1}+z_{t} \odot \tilde{h}_{t} \end{aligned} \] 其中,\(r_t,z_t\) 分别叫做重置门和更新门,\(r_{t}\) 是 \(x_t \rightarrow h_t\) 的数据流,\(z_{t}\) 是 \(h_{t-1} \rightarrow h_t\) 的数据流;\(\tilde{h}_{t}\) 是隐层的缓存权重
对比LSTM
- GRU取消了单元状态 \(s_t\) ,所以其需要训练的参数大大减少;
- 重置门 \(r_t\) ,顾名思义,其对上一时刻的隐层输出 \(h_{t-1}\) 进行了重置,再混合当前时刻的输入 \(x_t\) ,形成当前时刻的隐层的输入 \(\tilde{h}_{t}\)
- 更新门 \(z_t\) ,分别用 \(z_t\) 和 \(1-z_t\) 替代LSTM中 \(i_t\) 和 \(f_t\) 。这是一个非常巧妙的设计。 \(z_t\) 和 \(1-z_t\) 是互为关联的。当输入 \(\tilde{h}_{t}\) 以 \(z_t\) 的权重进行保留时,则会对过去时刻的隐层 \(h_{t-1}\) 以 \(z_t\) 的权重进行遗忘。这种做法,我们在计算信息熵的时候用到过。
4.2.2. 反向传播
略。
4.3. Bi-LSTM
4.3.1. 前向传递
一般来说,像自语言这种序列问题,当前时刻的输入会与过去时刻与未来时刻的输入都有关,但普通LSTM只具有前溯性,为了使其具有后溯性,在LSTM的基础上提出了双向循环神经网络(Bi-directional Long Short-Term Memory,Bi-LSTM)
(网上找到的资料都千篇一律-_-||)
上图中,Bi-LSTM由两个参数不共享的LSTM构成。前向传播时分为两个数据流向,一个是从 \(t_0\) 时刻开始输入至 \(t_T\) 时刻结束输入的前向数据流;一个是从 \(t_T\) 时刻开始输入至 \(t_0\) 时刻结束输入的后向数据流。这两个数据流向可以并行计算。每一时刻的两个LSTM的输出不进行预测及反向传播,等到所有时刻都输出完成后,对每一时刻的两个LSTM的输出进行拼接,此时再统一进行预测和反向传播。
4.3.2. 反向传播
略。
4.4. 其他改进方案
- PeelHole LSTM,LSTM中加入窥孔结构
- Depth Gated RNN,相关论文:Depth-Gated Recurrent Neural Networks
- Clockwork RNN,相关论文:A Clockwork RNN
- Grid LSTM,Grid Long Short-Term Memory
- 生成模型的RNN,相关论文:
5. reference
https://www.cs.ubc.ca/~minchenl/doc/BPTTTutorial.pdf
http://ir.hit.edu.cn/~jguo/docs/notes/bptt.pdf
https://www.deeplearningbook.org/contents/rnn.html
http://www.huaxiaozhuan.com/%E6%B7%B1%E5%BA%A6%E5%AD%A6%E4%B9%A0/chapters/6_RNN.html
循环神经网络(RNN)模型与前向反向传播算法 - 刘建平Pinard - 博客园

