本篇用到的代码传送门
1. 树的基本术语
节点的度
节点拥有子树的数量
树的度
树内各节点的度的最大值,是一个横向的量。
节点的深度
节点从上到下的最大层数,是一种纵向的量。根节点的深度为1
节点的高度
节点从下到上的最大层数,是一种纵向的量。叶子节点的高度为1
叶子节点
度为0的节点
有序树
各子树不能互换,否则为无序树
森林
m棵互不相交的树的集合
2. 二叉树的性质
二叉树(Binary Tree)是使用最多的树结构。
- 二叉树是无序树
- 一般地,默认二叉树上每个节点的值都不相同
- 二叉树的第 \(i\) 层上至多有 \(2^{i-1}\) 个节点
- 深度为 \(k\) 的二叉树至多有 \(2^k -1\) 个节点
- 如果叶子节点数为 \(n_0\),度为2的节点数为 \(n_2\),则 \(n_0=n_2+1\)
- 深度为 \(k\) 且含有 \(2^k -1\) 个节点(即每一层节点树都是最大的)的树为满二叉树
- 深度为 \(k\),有 \(n\) 个节点的二叉树,当且仅当每个节点都与深度为 \(k\) 的满二叉树中编号从1到 \(n\) 的节点一一对应时(定义真拗口-_-||,其实就是除最后一层外,其他层都是满的,最后一层从左到右是满的),称为完全二叉树
- 除最后一层外,其他层都是满的,称为理想平衡二叉树
- 满二叉树 \(\subseteq\) 完全二叉树 \(\subseteq\) 理想平衡二叉树
- 具有 \(n\) 个节点的完全二叉树的深度为 \(\lfloor \log_2 n \rfloor + 1\)
3. 二叉树的存储结构
3.1. 顺序表
依次自上而下、自坐往右存储节点的元素,中间遇到空节点用自定义的符号(例如 null,# 等)占位即可。
如果以数组索引为 \(1\) 作为二叉树的根节点,设当前节点在数组的索引为 \(i\) ,那么,其左子树的索引为 \(2i\),右子树的索引为 \(2i+1\)
3.2. 链表
每个节点有3份内存空间——数据、左指针和右指针。
4. 二叉树的可视化
4.1. 图像形式
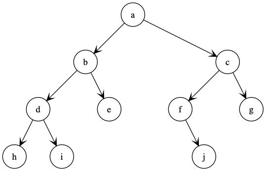
可以使用graphviz对二叉树进行图像可视化,但原生态的graphviz做出来的图并不好看,所以网上有大神写了一个优化的脚本。
把优化脚本保存为 binarytree.gvpr,然后把下面绘图语句保存为 binarytree.dot
digraph G {
node [shape=circle]
edge [arrowhead=vee]
a -> b
a -> c
b -> d
b -> e
c -> f
c -> g
d -> h
d -> i
_f[style=invis]
f -> _f[style=invis]
f -> j
}
当只有一个节点时,会默认将其作为右子树,所以需要一个占位节点将其挤到左子树那边。上述语句中,
[style=invis]表示隐藏属性,_f就是一个隐藏的占位节点。
最后命令行中输入下面的命令
dot tree.dot | gvpr -c -f binarytree.gvpr | neato -n -Tpng -o binarytree.png
附:一些常用的布局参数如下
- dot : 默认布局方式,主要用于有向图
- neato : 主要用于无向图
- twopi : 主要用于径向布局
- circo : 圆环布局
- fdp : 主要用于无向图
- sfdp : 主要绘制较大的无向图
- patchwork : 主要用于树哈希图(tree map)
即可得到
当然图像可视化怎么少得了信仰的matplotlib呢😝
实现代码,下面是实现效果图:
4.2. 文本形式
顺序表形式: [None, 'a', 'b', 'c', 'd', 'e', 'f', 'g', 'h', 'i', None, None, None, 'j']
广义表形式: a(b(d(h,i),e),c(f(,j),g))
树形结构形式:
a-->b-->d-->h
└-->i
└-->e
└-->c-->f
└-->j
└-->g
5. 二叉树的遍历
5.1. 深度优先(Depth-First Search, DFS)
5.1.1. 中序遍历(lDR)
即 左->根->右
中序遍历是最符合人的运算逻辑的,例如,四则运算 1+2-3 就是中序遍历的结果,所以多被用于运算的树形结构可视化。
中序遍历可以从树形结构直接看出来,只要把二叉树往下压扁,就可以得到其中序遍历了,如下图所示
5.1.2. 后序遍历(LRD)
即 左->右->根
后序遍历是最符合计算机的阅读逻辑的,例如,上面四则运算的后序遍历结果为 12+3-
在前面循环与递归一文中也提到,后序遍历是逆波兰式,所以这种遍历是计算机应用最多的遍历,凡是涉及递归的地方,都有后序遍历的身影。
5.1.3. 先序遍历(DLR)
即 根->左->右 ,
先序遍历是比较符合人的阅读逻辑的,例如,上面四则运算的后序遍历结果为 -+123
先序遍历就是波兰式,可以理解为先把一条路走到黑,碰壁后再回到上一个分岔路,然后把另一条路走到黑……最后把所有路都走完,遍历就结束了。所以常用于迷宫寻路算法和文件目录的输出
5.1.4. 从遍历序列还原二叉树
首先,可以确定二叉树的条件为 中序 & (先序 | 后序),所以,中序是必须要给定的。因为先序和后序在本质上都是将父节点与子节点进行分离,但并没有指明左子树和右子树的能力,没有中序不能确定一个二叉树。
以上面可视化例子中的二叉树作为例子,下面该二叉树的三种遍历结果:
前序遍历: ['a', 'b', 'd', 'h', 'i', 'e', 'c', 'f', 'j', 'g']
中序遍历: ['h', 'd', 'i', 'b', 'e', 'a', 'f', 'j', 'c', 'g']
后序遍历: ['h', 'i', 'd', 'e', 'b', 'j', 'f', 'g', 'c', 'a']
然后,只拿中序和先序,还原二叉树。下面给出还原的流程:
- 从先序按顺序从左往右读(后序为从右往左读),把第一个元素作为二叉树的根节点,并将其标记为已读元素。
- 从先序序列中读出下一个元素作为当前元素。
- 如果当前元素在中序序列中没有位于两个已读元素的中间,则在中序序列中,判断其位于最靠近已标记元素的哪一侧,如果位于左侧,则为那一个标记元素的左子树,右侧则为右子树。例如,
b位于a的左侧,则作为a的左子树。 - 如果当前元素在中序序列中位于两个已读元素的中间,则在中序序列中,作为左边最靠近当前元素的已标记元素的右子树(后序为右边最靠近当前元素的已标记元素的左子树),如果右子树已经存在,则作为右边元素的左子树(后序相反即可)。例如,
f位于a和c中间,本来,i应该为a的右子树,但a的右子树已经存在了,所以只能作为c的左子树。 - 把当前元素标记为已读元素。
- 重复步骤2-5,直至所有元素都被标为已读元素,二叉树还原完毕。
5.2. 广度优先(Breadth-First Search, BFS)
5.2.1. 按层遍历
即按自上而下,自左向右打印每个元素主要用到了队列的思想。
按层遍历是最符合人的阅读逻辑的,多用于按层输出每一层的目录,用到的场景比较少。
That's all~ Have a good time~


